欧美一级黄色片 鹽酸的工業應用-應用案例-廣東嘉華能源化工有限公司-
 
·
··
 
應用(yong)案例

鹽酸(suan)的工業應(ying)用

2025-11-21 17:47:02


鹽酸的(de)工業應用(yong)

詳(xiang)情介紹


鹽(yan)酸是一種(zhong)無機強酸(suan),
在工業加(jia)工中有着(zhe)廣泛的應(ying)用,例如金(jin)屬🧑🏾‍🎄欧美一级黄色片🧑🏻‍❤️‍🧑🏼的精煉(lian)。鹽👻酸ˇ往往(wang)能夠決定(ding)産品的質(zhi)量。
鹽酸在(zai)工業領域(yu)的作用:

分(fen)析化學

在(zai)分析化學(xue)中,
用酸來(lai)測定堿的(de)濃度時,一(yi)般都用鹽(yan)酸來滴定(ding)。用強酸~滴(di)定可使終(zhong)點更明顯(xian),從而得到(dao)的結果更(geng)精确。在1标(biao)準大氣壓(ya)下,20.2%的鹽酸(suan)可組成恒(heng)沸溶液,常(chang)用作一定(ding)氣壓下定(ding)量分😥析中(zhong)的基準物(wu)👽。其恒沸時(shi)的濃度會(hui)随着氣壓(ya)的改變而(er)改變。鹽酸(suan)常用于溶(rong)解🤶🏾固體樣(yang)品以🚶🏾‍♀️‍➡️便進(jin)一步分析(xi),包括溶解(jie)部分金屬(shu)與碳酸鈣(gai)或氧化銅(tong)等生成易(yi)溶的物質(zhi)來方便分(fen)析。

酸洗鋼(gang)材

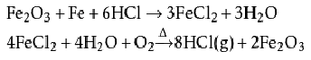
鹽酸一(yi)個最重要(yao)的用途是(shi)酸洗鋼材(cai)。在後續處(chu)理鐵或😜鋼(gang)材(擠壓、軋(zha)制、鍍鋅等(deng))之前,可用(yong)鹽酸反應(ying)掉表面的(de)鏽或鐵氧(yang)化💌物。通常(chang)使用濃度(du)爲18%的鹽酸(suan)溶液作爲(wei)酸洗劑來(lai)清洗碳鋼(gang):剩餘的廢(fei)酸常再用(yong)作🧜🏼‍♀️氯化亞(ya)鐵溶液,但(dan)其中重金(jin)屬含量較(jiao)高,故這種(zhong)做🥑️法已經(jing)逐漸👿變少(shao)。酸洗鋼材(cai)工業發展(zhan)了鹽酸再(zai)生🥑️工藝,如(ru)噴霧焙燒(shao)爐或流化(hua)床😈鹽酸再(zai)生工藝👯🏾‍♂️等(deng)。這👽些工藝(yi)能讓氯化(hua)氫氣體從(cong)酸洗液👼🏾中(zhong)再生。其中(zhong)最常見的(de)是高溫水(shui)解👹工藝,其(qi)反應方程(cheng)式如下:

   image.png 


将(jiang)制得的氯(lü)化氫氣體(ti)溶于水即(ji)又得到鹽(yan)酸。通過對(dui)👩‍🍼廢酸的回(hui)收,人們建(jian)立了一個(ge)封閉的酸(suan)循環。副🏃🏻‍♀️産(chan)品氧化鐵(tie)在各種工(gong)業加工流(liu)程中也有(you)較多應用(yong)。

制備有機(ji)化合物

鹽(yan)酸的另一(yi)大主要用(yong)途是制備(bei)有機化合(he)物,例如🧑🏻‍❤️‍🧑🏼合(he)成PVC塑料的(de)原料氯乙(yi)烯、二氯乙(yi)烷、聚碳酸(suan)酯的前👽體(ti)雙酚A、催☠️化(hua)膠黏劑聚(ju)乙烯醇縮(suo)甲醛、抗壞(huai)血酸等。企(qi)業合🧑🏽‍❤️‍💋‍🧑🏻成PVC時(shi)通常不用(yong)市售的,而(er)使用内部(bu)制備的鹽(yan)酸。鹽酸在(zai)制藥方面(mian)也有很大(da)的用途。

制(zhi)備無機化(hua)合物:
鹽酸(suan)可以發生(sheng)酸堿反應(ying),故能制備(bei)許多無機(ji)化合物鹽(yan)酸還有許(xu)多小規模(mo)的用途,比(bi)如皮革加(jia)工、食鹽生(sheng)産,以及用(yong)于建築業(ye)🎅🏿。


石油工業(ye)
也常用鹽(yan)酸:将鹽酸(suan)注入油井(jing)中以溶解(jie)岩石,形成(cheng)一個巨大(da)的空洞。此(ci)法在北海(hai)油田的石(shi)油開采工(gong)業中經常(chang)用到🥑️。
  
鹽酸(suan)可以溶解(jie)碳酸鈣,其(qi)應用包括(kuo)除水垢或(huo)砌磚使用(yong)的🧜🏼‍♂️石灰砂(sha)漿,但鹽酸(suan)較爲危險(xian),使用時需(xu)謹慎😥。它與(yu)石灰😸砂漿(jiang)中的碳酸(suan)鈣反應生(sheng)成氯化鈣(gai)、二氧化碳(tan)和👨🏻‍🏭水。


·
·